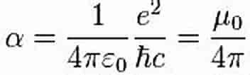
1/137……………………..007.

1/137………..007: Click below for article written by me:

 

007: 007

Leave a comment

This site uses Akismet to reduce spam. Learn how your comment data is processed.